Um aplicativo gratuito para Android, da Familion Studio.
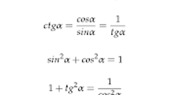
Тригонометрия. Формулы. Шпаргалкаé um aplicativo gratuito para Android, pertencente à categoria 'Educação e Referência' .
Sobre Тригонометрия. Формулы. Шпаргалка para Android
Este aplicativo foi lançado no Softonic em 6 de fevereiro de 2020 e ainda não tivemos a possibilidade de verificá-lo.
Incentivamos você a experimentá-lo e deixe-nos um comentário ou valorizá-lo em nosso site. Nossa comunidade de usuários vai gostar muito!
Тригонометрия. Формулы. Шпаргалка está disponível para Android 9.0 e superior. A versão atual do aplicativo é 1.0.2, e você pode obtê-lo apenas em russo.










